
El Organismo Supervisor de Inversión Privada en Telecomunicaciones, mediante la Resolución de Consejo Directivo Nº 00282 -2023-CD/Osiptel, aprobó modificar la Norma de las Condiciones de Uso de los Servicios Públicos de Telecomunicaciones a fin de que, ante una interrupción en el servicio público ocasionado por la empresa operadora, se devuelva al usuario el pago realizado correspondiente al periodo interrumpido.
Osiptel será el encargado de determinar la forma de cálculo, las condiciones y los casos en que se realizará la compensación al abonado.
El documento detalla que “cuando la tarifa o renta fija correspondiente haya sido pagada en forma adelantada, la empresa operadora debe devolver al abonado la parte proporcional al tiempo de interrupción del servicio, incluyendo el respectivo interés”.
LEA TAMBIÉN: Osiptel aprobó sistema de denuncias por incumplimiento de operadoras: ¿cómo funciona?
En todos los casos, la devolución al abonado de las sumas que correspondan por dichos conceptos se realiza en la misma moneda en que se facturó el servicio. La empresa operadora está impedida de realizar el reembolso a través de una forma de pago distinta.
En caso se trate de servicios que utilizan sistemas de tarjeta de pago, la compañía debe informar al Osiptel los mecanismos y metodología que utilizará para realizar la devolución a los clientes.
Plazos para la devolución
La devolución se realiza conforme a los plazos establecidos en el artículo 38, el cual señala que el reembolso de las sumas correspondientes a pagos indebidos o en exceso debe ser efectuada por la empresa operadora, a más tardar en el recibo correspondiente al segundo ciclo de facturación inmediato posterior, o en caso no sea posible la devolución a través del recibo de servicio, en el plazo de dos meses.
En cualquier caso, el plazo se computa a partir de: la detección del pago indebido o en exceso, o la fecha en que se notifique la resolución de primera instancia o del Trasu que da lugar a la devolución.
La resolución también señala que una vez restituido el servicio, la empresa operadora debe permitir que el usuario pueda continuar utilizando el saldo del crédito que le corresponda, inclusive durante el ciclo de facturación inmediato posterior, cuando dicho saldo no ha podido ser consumido en el ciclo de facturación regular debido a la interrupción del servicio.
Esta regla es aplicable tanto para los servicios cuya tarifa o renta fija se paga de forma adelantada como para los que utilizan sistemas de tarjetas de pago.
LEA TAMBIÉN: ¿Cuáles son las ciudades del Perú con internet móvil más rápido?
Servicio de Internet fijo
En el caso de las interrupciones del servicio de Internet fijo brindado en áreas urbanas, originadas por causas atribuibles a la empresa operadora, esta deberá efectuar una compensación al cliente, en forma adicional al reembolso aplicable.
Cabe mencionar, que es considerada interrupción del servicio por causa atribuible a la empresa operadora todas aquellas que no resulten de responsabilidad del abonado o usuario, “con excepción de las interrupciones del servicio producidas por trabajos de mantenimiento o por caso fortuito, fuerza mayor u otras circunstancias fuera del control de la empresa operadora.”
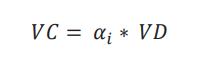
El monto por compensación al abonado por interrupción del servicio se determina de acuerdo a la siguiente regla:

Donde:
- VC: Es el valor calculado para la compensación al abonado por interrupción del servicio.
- VD: Es el valor calculado para la retribución al abonado por el concepto de devolución por interrupción del servicio.
- a1 : Es el factor multiplicativo por compensación, cuyo valor varía en función al tiempo de interrupción de servicio.
LEA TAMBIÉN: ¿Cuál es la empresa operadora que lidera mercado de internet fijo en distritos de Lima?

Por ejemplo, para una interrupción en el rango de los 60 a 300 minutos el monto de la compensación resultará de la multiplicación del monto de la devolución por el factor 2.5.
Para efectos prácticos, si en dicho lapso, la retribución al abonado por concepto de devolución es de un sol, el monto de la compensación resultará de la multiplicación de dicho monto por 2.5, es decir S/ 2.50.
Respecto de los demás rangos, la norma precisa que el factor multiplicativo para una interrupción mayor a 300 minutos y de hasta 700 minutos será de 3, para eventos mayores a 700 y de hasta 1 440 minutos será de 3.5, mientras que para interrupciones mayores a 1,440 minutos el factor será de 4.
Finalmente, se establece que la compensación al abonado por interrupción del servicio se realice de manera conjunta con la devolución correspondiente.







